新高考“等级赋分”是什么?
信息来源:新湖南客户端
浏览次数: 发布时间:2021-05-31 09:49
湖南新高考即将开始,改革力度空前。关于新高考,大家有一个比较集中的问题——再选科目的“等级赋分”。这是一个在湖南高考中首次出现的词,什么是“等级赋分”?为什么要这样操作?具体会怎样转换?能确保公平吗?日前,记者采访了省教育部门相关负责人,借助权威人士对“等级赋分”的解读,我们假定了考生小湘和小星的故事,看看再选科目成绩是怎样通过“等级赋分”呈现出来的。
【释疑】为什么要对再选科目实行等级赋分?
将“绝对分”转换为“位次分”,保证成绩的公平性
按照新高考规定,首选科目为历史或物理(任选一门);再选科目由学生在政治、地理、化学、生物学4门中选择2门。
考生进行选科时,考虑的角度各不相同。有人按照自己的兴趣来选,有人按照自己想报的专业来选,还有人选择了自认为更容易学并且能拿高分的科目。当考生再选科目各不相同时,等级赋分的方式可以保证成绩呈现的可比性和公平性。
【示例】
小湘喜欢医学,也对时事政治很感兴趣。因此在选科时,他的首选科目是物理,再选科目为政治和生物。而另一名小星,首选科目也选了物理,再选科目选了化学和生物。假设在高考中,小湘的政治科目和小星的化学科目都考了80分。但是小湘排在所有选考政治科目考生的第100位,小星排在所有选考化学考生的第1000位。在这种情况下,由于小湘、小星这两门不同的再选科目,如果都用原始成绩来计入总分计算排名,小湘显然更“吃亏”——虽然他政治科目的考分低,但是排名远比小星的化学科目要高。
将不同科目的原始分直接计入总成绩并进行比较,既不公平也不科学。因此必须按照一定规则,对两人的选考科目成绩转换成等级分,相当于将不同科目的“绝对分”转换为“位次分”来进行比较,保证转换后两人选考科目成绩的排序维持不变,由此解决不同再选科目之间成绩的可比性和可加性问题。
【操作】
等级赋分具体怎么操作?如何转换?
30分作为赋分起点,分为五个等级
按照我省的《普通高中学业水平选择性考试成绩计入高考录取总成绩办法》,等级赋分以30分作为赋分起点,满分为100分。将考生每门再选科目考试的原始成绩从高到低划定为A、B、C、D、E五等,各等级人数所占比例分别为15%、35%、35%、13%和2%。转换基数为实际参加该再选科目考试并取得有效成绩的人数。转换时,将A至E等级内的考生原始成绩,依照等比例转换法则,分别转换到100~86分、85~71分、70~56分、55~41分、40~30分五个等级分数区间(具体等级比例和赋分区间见附件),根据等级赋分转换公式计算,四舍五入得到考生的等级成绩。转换后的等级成绩一分一档,考生排序不变。
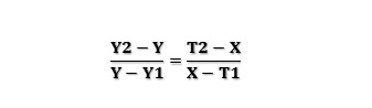
等级赋分转换公式:

其中,Y1、Y2分别表示某等级原始分数区间的下限和上限;T1、T2分别表示相应等级的赋分区间的下限和上限;Y表示考生的原始成绩,X表示考生转换后的等级成绩。考生原始成绩正好为原始分数区间上限或下限时,不需要按转换公式计算,相应的赋分区间的上限或下限分数即为该考生的等级成绩。
湖南省普通高中学业水平再选科目考试成绩计入高考总成绩的等级比例和赋分区间:

【示例】
假设在今年高考中,小湘的政治原始成绩为84分,在所有选政治的考生中排在前3%。根据上面的等级赋分表格,该成绩位于A等,赋分区间为100-86分。根据考生原始分数的分布,A等级的分数区间为98-82分(实际以当年成绩分布为准),按公式经过转换以后,小湘的等级成绩为88分,最后就以这个成绩计入他的高考总成绩。

提醒考生注意的是,赋分转换由省招生办组织专家,依据转换规则进行转换,考生不参与转换过程。原始分、赋分过程等过程性信息,根据相关规定不予公布。所有考生拿到的成绩是转换后的分数,考生可以根据分数判断出自己的成绩位于哪个等级。